【R】行列の各列ベクトルを1つの時系列データとみなしてグラフを描く
データは次のようなデータ。
> head(random.csum) X1 X2 X3 X4 X5 X6 X7 X8 X9 X10 X11 X12 X13 X14 X15 X16 X17 X18 X19 X20 X21 1 0 1 0 0 0 0 0 1 0 1 0 0 1 0 0 0 0 0 0 0 0 2 1 1 0 0 0 0 0 1 1 1 0 0 1 0 0 1 0 0 0 1 1 3 2 1 0 0 1 0 0 1 1 1 0 0 1 0 1 1 0 0 0 1 1 4 2 1 0 0 1 0 0 1 1 1 0 0 1 0 1 2 0 1 0 1 1 5 2 1 0 0 1 0 0 1 2 1 0 0 1 0 2 2 0 1 0 1 2 6 2 1 0 0 1 1 0 1 2 1 0 1 1 0 2 2 0 1 0 1 2
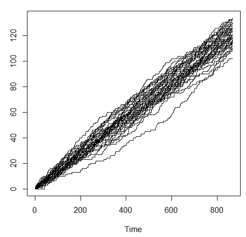
この行列の各列ベクトルを、それぞれ時系列データと考えて、それぞれの折れ線グラフを描きたい。
方法①
関数plotを使用する。
> ts.plot(random.csum)
方法②
関数matplotを使用する。
> matplot(random.csum.matrix, type="l")
横軸と縦軸の幅を同じにして、y=xの線を加えてみた。
> matplot(random.csum.matrix, type="l",xlim=c(0,860)) > matplot(random.csum.matrix, type="l",xlim=c(0,860),ylim=c(0,860)) > abline(0,1)
(追記)
期待値を表す直線を追加。
> abline(0,0.02325581395) > abline(0,0.14841239678,col="red",lwd="2")



